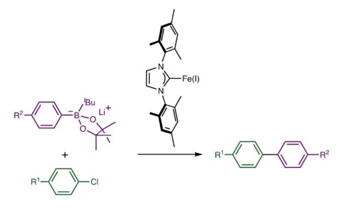
Publications: 2020 – 2024 2020 | 2021 | 2022 | 2023 | 2024 2024 Discovering structure–property correlations: general discussion Asymmetric ‘Clip-Cycle’ Synthesis of 3-Spiropiperidines The Iron-Catalysed Suzuki Coupling of Aryl Chlorides Revealing the Hidden Complexity and Reactivity of Palladacyclic Precatalysts: The P(o-tolyl)3 Ligand Enables a Cocktail of Active Species Utilizing the Pd(II)/Pd(IV) and Pd(0)/Pd(II) Pathways for Efficient Catalysis Automated approaches, reaction parameterisation, and data science in organometallic chemistry and catalysis: towards improving synthetic chemistry and accelerating mechanistic understanding Deciphering complexity in Pd–catalyzed cross-couplings Deciphering complexity in Pd–catalyzed cross-couplings Stereoselective synthesis of an advanced trans-decalin intermediate towards the total synthesis of anthracimycin The importance of understanding (pre)catalyst activation in versatile C–H bond functionalisations catalysed by [Mn2(CO)10] Unveiling Mechanistic Complexity in Manganese-Catalyzed C–H Bond Functionalization Using IR Spectroscopy Over 16 Orders of Magnitude in Time Broad Spectrum Enantioselective Amide Bond Synthetase from Streptoalloteichus hindustanus Evidence for Suzuki-Miyaura Cross-Couplings catalyzed by ligated Pd3–Clusters: from cradle to grave 2023 Opening a Pandora’s Flask on a Prototype Catalytic Direct Arylation Reaction of Pentafluorobenzene: The Ag2CO3/Pd(OAc)2/PPh3 System Direct Cyclopalladation of Fluorinated Benzyl Amines by Pd3(OAc)6: The Coexistence of Multinuclear Pdn Reaction Pathways Highlights the Importance of Pd Speciation in C–H Bond Activation Mechanically Robust Hybrid Gel Beads Loaded with “Naked” Palladium Nanoparticles as Efficient, Reusable, and Sustainable Catalysts for the Suzuki–Miyaura Reaction Coumarin C–H Functionalization by MnI Carbonyls: Mechanistic Insight by Ultra-Fast IR Spectroscopic Analysis Understanding Precatalyst Activation and Speciation in Manganese-Catalyzed C–H Bond Functionalization Reactions 2022 Well-Defined Pdn Clusters for Cross–Coupling and Hydrogenation Catalysis: New Opportunities for Catalyst Design Pd-Catalyzed Cross-Couplings: On the Importance of the Catalyst Quantity Descriptors, mol % and ppm Safe Handling of Air-Sensitive Organometallic Reagents Using Schlenk Line Techniques: Negishi Cross-Couplings for Trainee Graduate Students A comprehensive understanding of carbon-carbon bond formation by alkyne migratory insertion into manganacycles Direct Evidence for Competitive C-H Activation by a Well-Defined Silver XPhos Complex in Palladium-Catalyzed C-H Functionalization Manganese-Mediated C–H Bond Activation of Fluorinated Aromatics and the ortho-Fluorine Effect: Kinetic Analysis by In Situ Infrared Spectroscopic Analysis and Time-Resolved Methods 2021 Bridging the Gap from Mononuclear PdII Precatalysts to Pd Nanoparticles: Identification of Intermediate Linear [Pd3(XPh3)4]2+ Clusters as Catalytic Species for Suzuki–Miyaura Couplings (X = P, As) Reactivity of a Dinuclear PdI Complex [Pd2(μ-PPh2)(μ2-OAc)(PPh32)2] with PPh3: Implications for Cross-Coupling Catalysis Using the Ubiquitous Pd(OAc)2/nPPh3 Catalyst System A Dichotomy in Cross-Coupling Site Selectivity in a Dihalogenated Heteroarene: Influence of Mononuclear Pd, Pd Clusters, and Pd Nanoparticles—the Case for Exploiting Pd Catalyst Speciation Pd-Catalysed carbonylative Suzuki–Miyaura cross-couplings using Fe(CO)4 under mild conditions: generation of a highly active, recyclable and scalable ‘Pd–Fe’ nanocatalyst Direct Observation of the Microscopic Reverse of the Ubiquitous Concerted Metalation Deprotonation Step in C–H Bond Activation Catalysis 2020 Light- and Manganese-Initiated Borylation of Aryl Diazonium Salts: Mechanistic Insight on the Ultrafast Time-Scale Revealed by Time-Resolved Spectroscopic Analysis A Need for Caution in the Preparation and Application of Synthetically Versatile Aryl Diazonium Tetrafluoroborate Salts Direct Measurement of the Visible to UV Photodissociation Processes for the PhotoCORM TryptoCORM Time-resolved infra-red spectroscopy reveals competitive water and dinitrogen coordination to a MnI carbonyl complex Biocatalytic Synthesis of Moclobemide Using the Amide Bond Synthetase McbA Coupled with an ATP Recycling System Pd Nanoparticles in C–H Activation and Cross-coupling Catalysis Share this: Share on X (Opens in new window) X Share on Facebook (Opens in new window) Facebook Like Loading...